Официальное опубликование правовых актов
ОФИЦИАЛЬНОЕ ОПУБЛИКОВАНИЕ
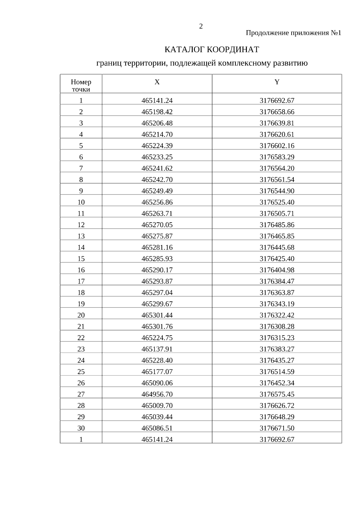
Распоряжение Правительства Хабаровского края от 04.03.2026 № 97-рп
"О комплексном развитии незастроенной территории в границах ул. Тихоокеанской – ул. Победы в Краснофлотском районе городского округа "Город Хабаровск"
Номер опубликования: 2700202603100003
Дата опубликования: 10.03.2026
Страница №5 из 17:
Увеличить