Официальное опубликование правовых актов
ОФИЦИАЛЬНОЕ ОПУБЛИКОВАНИЕ
Постановление Правительства Хабаровского края от 26.03.2026 № 83-пр
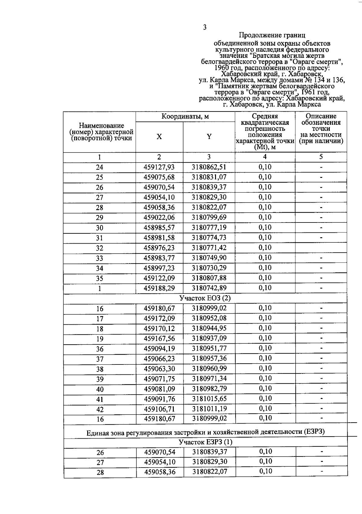
"Об установлении объединенной зоны охраны объектов культурного наследия федерального значения "Братская могила жертв белогвардейского террора в "Овраге смерти", 1960 год, расположенного по адресу: Хабаровский край, г. Хабаровск, ул. Карла Маркса, между домами № 134 и 136, и "Памятник жертвам белогвардейского террора в "Овраге смерти", 1961 год, расположенного по адресу: Хабаровский край, г. Хабаровск, ул. Карла Маркса, и ограничений использования земельных участков и их частей в ее границах"
Номер опубликования: 2700202603270015
Дата опубликования: 27.03.2026
Страница №5 из 28:
Увеличить