Официальное опубликование правовых актов
ОФИЦИАЛЬНОЕ ОПУБЛИКОВАНИЕ
Приказ Министерства финансов Хабаровского края от 25.11.2025 № 181П
"О внесении изменений в Порядок проведения мониторинга качества финансового менеджмента, утвержденный приказом министерства финансов Хабаровского края от 25 мая 2020 г. № 118П"
(Зарегистрирован 25.11.2025 № 51)
Номер опубликования: 2701202511270003
Дата опубликования: 27.11.2025
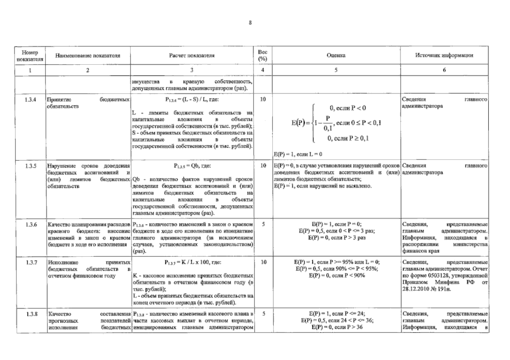
Страница №10 из 89:
Увеличить