Официальное опубликование правовых актов
ОФИЦИАЛЬНОЕ ОПУБЛИКОВАНИЕ
Приказ Министерства образования и науки Хабаровского края от 14.04.2026 № 9
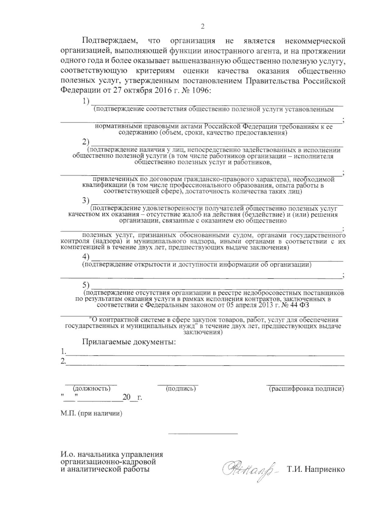
"Об утверждении Административного регламента предоставления министерством образования и науки Хабаровского края государственной услуги по оценке качества оказания социально ориентированными некоммерческими организациями общественно полезных услуг"
(Зарегистрирован 15.04.2026 № 11)
Номер опубликования: 2701202604160003
Дата опубликования: 16.04.2026
Страница №17 из 28:
Увеличить