Официальное опубликование правовых актов
ОФИЦИАЛЬНОЕ ОПУБЛИКОВАНИЕ
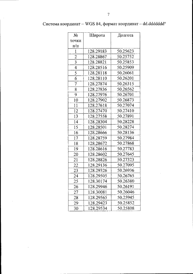
Постановление Правительства Амурской области от 27.11.2015 № 566
"Об утверждении Положений о памятниках природы регионального значения"
Номер опубликования: 2800201512010008
Дата опубликования: 01.12.2015
Страница №9 из 82:
Увеличить