Официальное опубликование правовых актов
ОФИЦИАЛЬНОЕ ОПУБЛИКОВАНИЕ
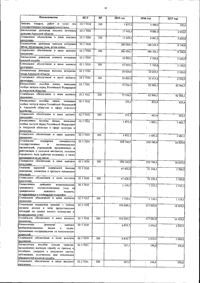
Закон Амурской области от 11.12.2015 № 618-ОЗ
"О внесении изменений в Закон Амурской области "Об областном бюджете на 2015 год и плановый период 2016 и 2017 годов"
Номер опубликования: 2800201512150011
Дата опубликования: 15.12.2015
Страница №14 из 111:
Увеличить