Официальное опубликование правовых актов
ОФИЦИАЛЬНОЕ ОПУБЛИКОВАНИЕ
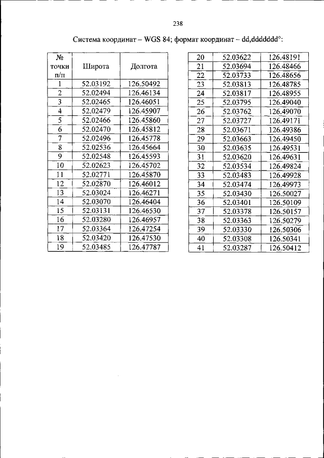
Постановление Правительства Амурской области от 18.10.2016 № 454
"Об утверждении Положений о памятниках природы регионального значения"
Номер опубликования: 2800201610210001
Дата опубликования: 21.10.2016
Страница №241 из 267:
Увеличить