Официальное опубликование правовых актов
ОФИЦИАЛЬНОЕ ОПУБЛИКОВАНИЕ
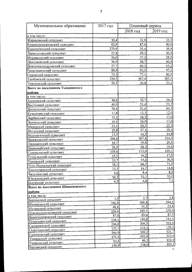
Закон Амурской области от 30.01.2017 № 47-ОЗ
"О внесении изменений в Закон Амурской области "Об областном бюджете на 2017 год плановый период 2018 и 2019 годов"
Номер опубликования: 2800201702030001
Дата опубликования: 03.02.2017
Страница №80 из 84:
Увеличить