Официальное опубликование правовых актов
ОФИЦИАЛЬНОЕ ОПУБЛИКОВАНИЕ
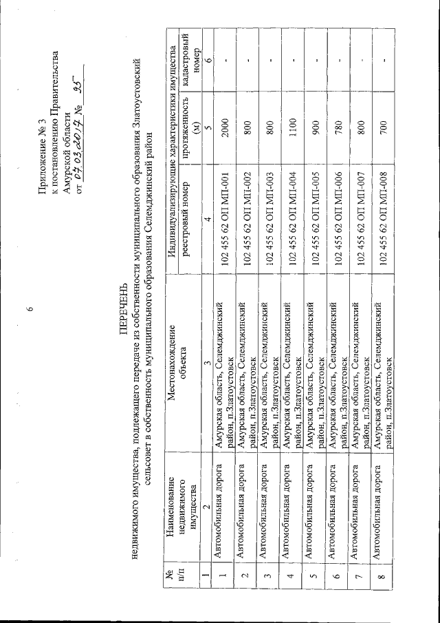
Постановление Правительства Амурской области от 07.03.2017 № 95
"О разграничении имущества между муниципальными образованиями Селемджинского района Амурской области"
Номер опубликования: 2800201703100005
Дата опубликования: 10.03.2017
Страница №8 из 21:
Увеличить