Официальное опубликование правовых актов
ОФИЦИАЛЬНОЕ ОПУБЛИКОВАНИЕ
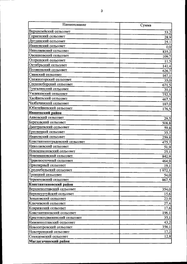
Закон Амурской области от 28.08.2017 № 100-ОЗ
"Об исполнении областного бюджета за 2016 год"
Номер опубликования: 2800201708290003
Дата опубликования: 29.08.2017
Страница №232 из 278:
Увеличить