Официальное опубликование правовых актов
ОФИЦИАЛЬНОЕ ОПУБЛИКОВАНИЕ
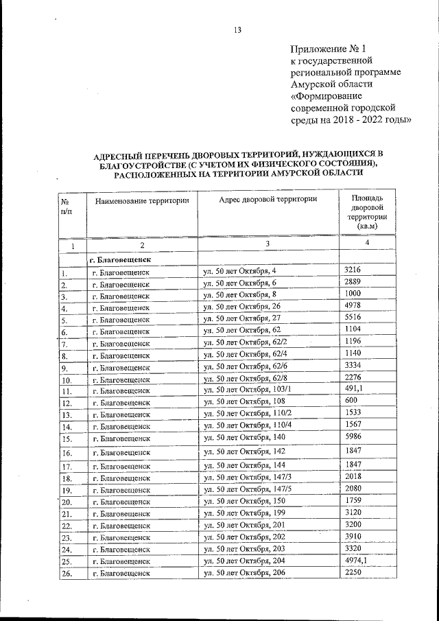
Постановление Правительства Амурской области от 31.08.2017 № 416
"Об утверждении государственной региональной программы Амурской области "Формирование современной городской среды на 2018-2022 годы"
Номер опубликования: 2800201709060003
Дата опубликования: 06.09.2017
Страница №14 из 77:
Увеличить