Официальное опубликование правовых актов
ОФИЦИАЛЬНОЕ ОПУБЛИКОВАНИЕ
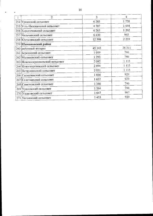
Постановление Правительства Амурской области от 09.01.2018 № 6
"Об утверждении на 2018 год нормативов формирования расходов на оплату труда депутатов, выборных должностных лиц местного самоуправления, осуществляющих свои полномочия на постоянной основе, муниципальных служащих области и на содержание органов местного самоуправления муниципальных образований области"
Номер опубликования: 2800201801150001
Дата опубликования: 15.01.2018
Страница №20 из 22:
Увеличить