Официальное опубликование правовых актов
ОФИЦИАЛЬНОЕ ОПУБЛИКОВАНИЕ
Постановление Правительства Амурской области от 19.01.2018 № 21
"О внесении изменений в постановление Правительства области от 25.09.2013 № 444"
Номер опубликования: 2800201801240019
Дата опубликования: 24.01.2018
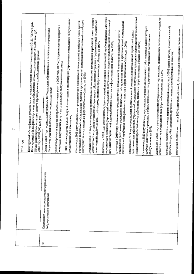
Страница №3 из 80:
Увеличить