Официальное опубликование правовых актов
ОФИЦИАЛЬНОЕ ОПУБЛИКОВАНИЕ
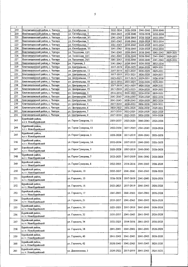
Постановление Правительства Амурской области от 06.06.2018 № 250
"О внесении изменений в постановление Правительства области от 23.01.2014 № 26"
Номер опубликования: 2800201806130005
Дата опубликования: 13.06.2018
Страница №6 из 85:
Увеличить