Официальное опубликование правовых актов
ОФИЦИАЛЬНОЕ ОПУБЛИКОВАНИЕ
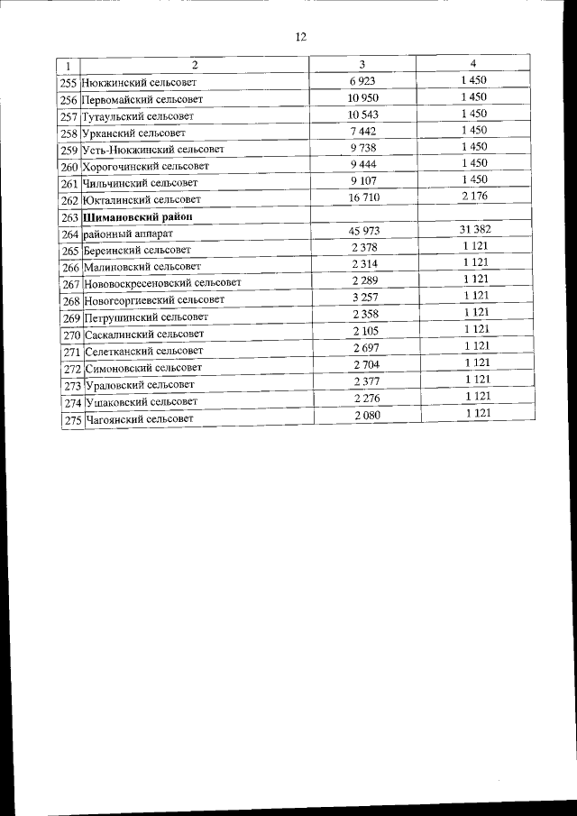
Постановление Правительства Амурской области от 29.12.2018 № 664
"Об утверждении на 2019 год методики расчета и нормативов формирования расходов на оплату труда депутатов, выборных доллжностных лиц местного самоуправления, осуществляющих свои полномочия на постоянной основе, муниципальных служащих области и на содержание органов местного самоуправления муниципальных образований области"
Номер опубликования: 2800201901040016
Дата опубликования: 04.01.2019
Страница №14 из 14:
Увеличить