Официальное опубликование правовых актов
ОФИЦИАЛЬНОЕ ОПУБЛИКОВАНИЕ
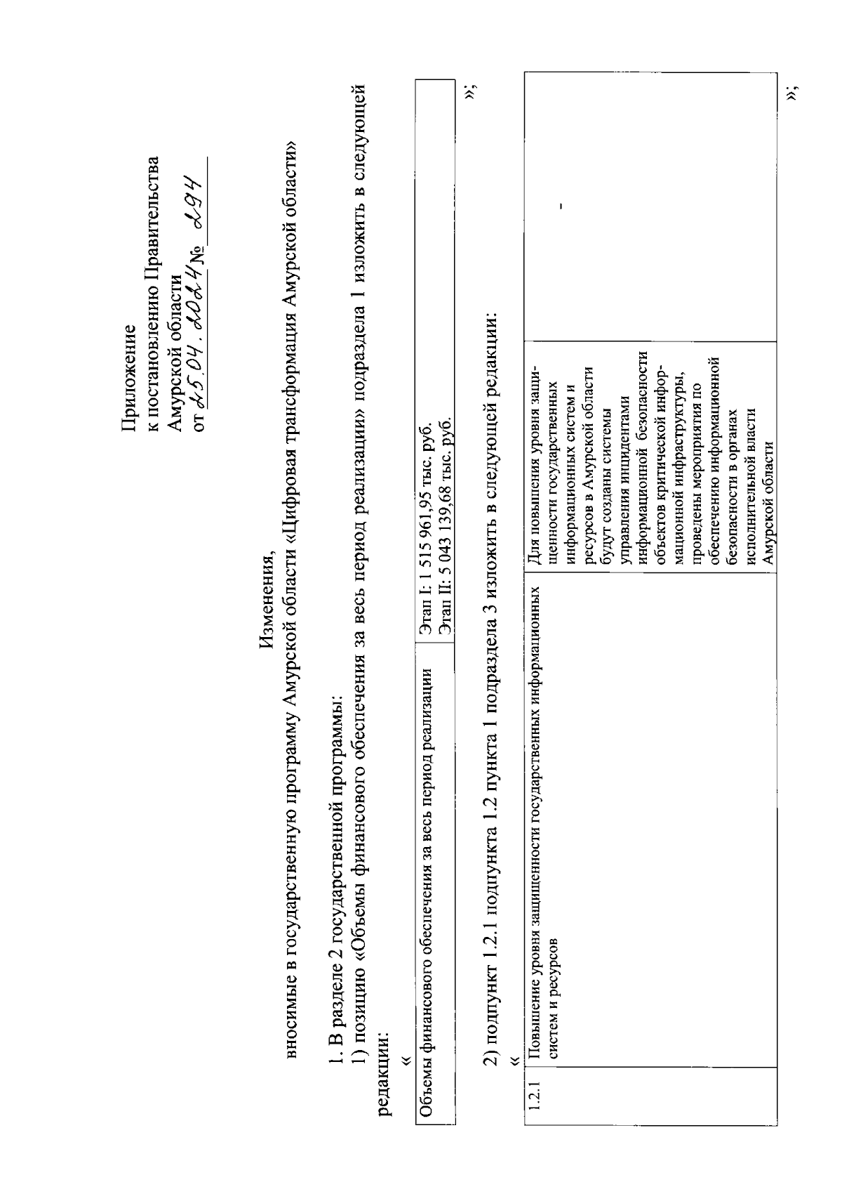
Постановление Правительства Амурской области от 25.04.2024 № 294
"О внесении изменений в постановление Правительства Амурской области от 22.09.2023 № 792"
Номер опубликования: 2800202404260005
Дата опубликования: 26.04.2024
Страница №2 из 14:
Увеличить