Официальное опубликование правовых актов
ОФИЦИАЛЬНОЕ ОПУБЛИКОВАНИЕ
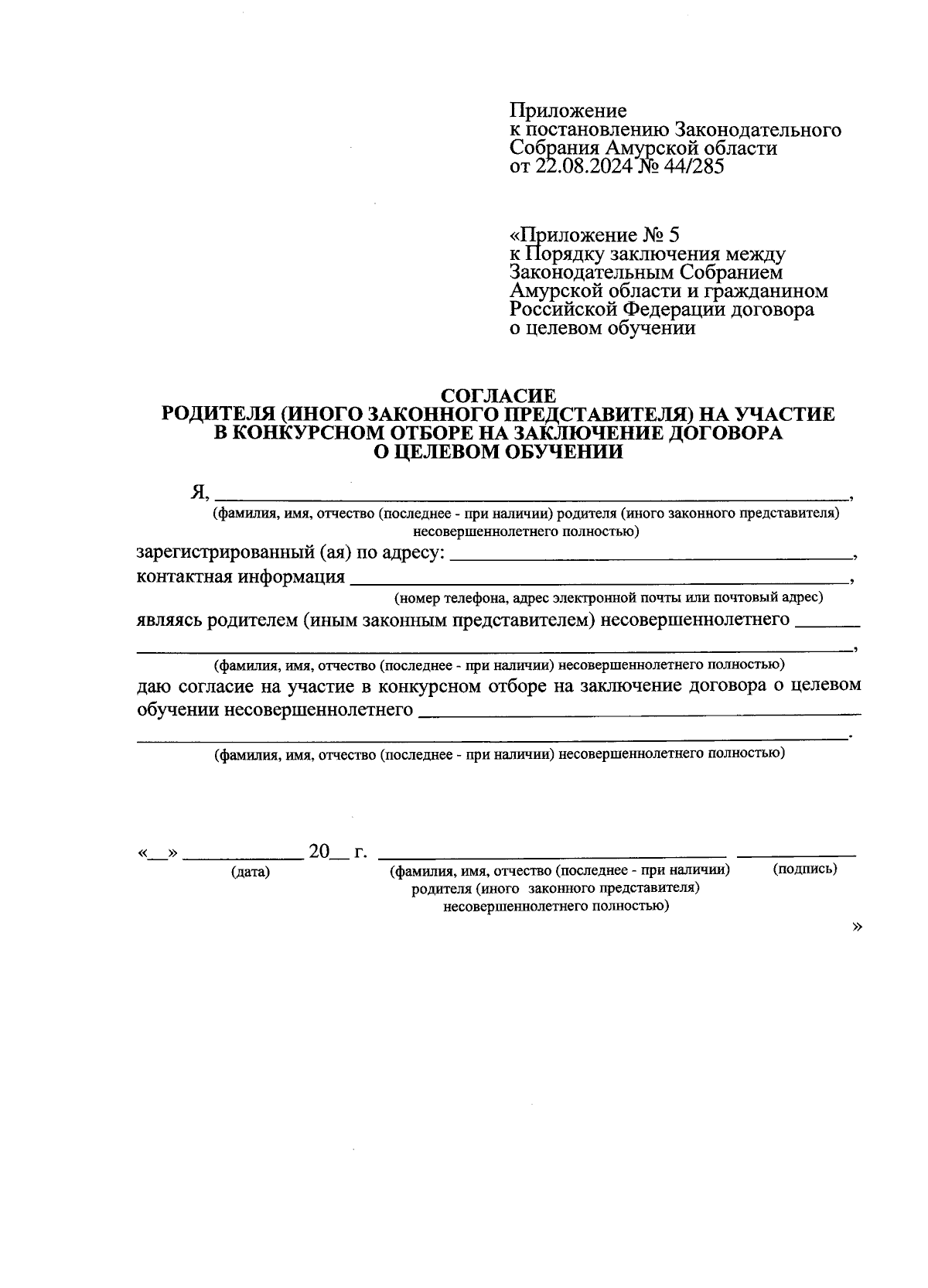
Постановление Законодательного Собрания Амурской области от 22.08.2024 № 44/285
"О внесении изменений в Порядок заключения между Законодательным Собранием Амурской области и гражданином Российской Федерации договора о целевом обучении и в Положение о материальном стимулировании граждан Российской Федерации, заключивших с Законодательным Собранием Амурской области договор о целевом обучении"
Номер опубликования: 2800202408260003
Дата опубликования: 26.08.2024
Страница №6 из 6:
Увеличить