Официальное опубликование правовых актов
ОФИЦИАЛЬНОЕ ОПУБЛИКОВАНИЕ
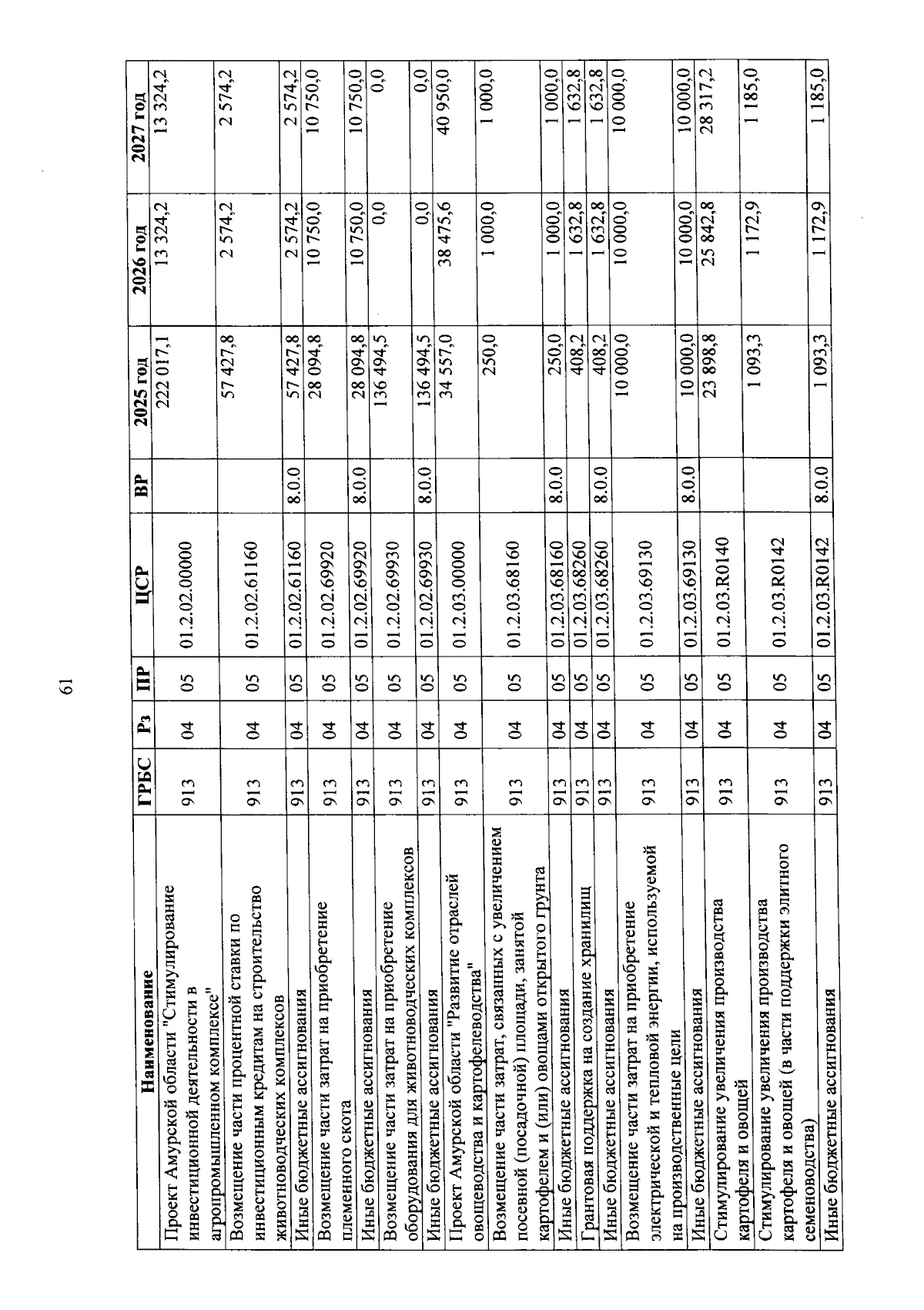
Закон Амурской области от 10.12.2024 № 580-ОЗ
"Об областном бюджете на 2025 год и плановый период 2026 и 2027 годов"
Номер опубликования: 2800202412130007
Дата опубликования: 13.12.2024
Страница №334 из 586:
Увеличить