Официальное опубликование правовых актов
ОФИЦИАЛЬНОЕ ОПУБЛИКОВАНИЕ
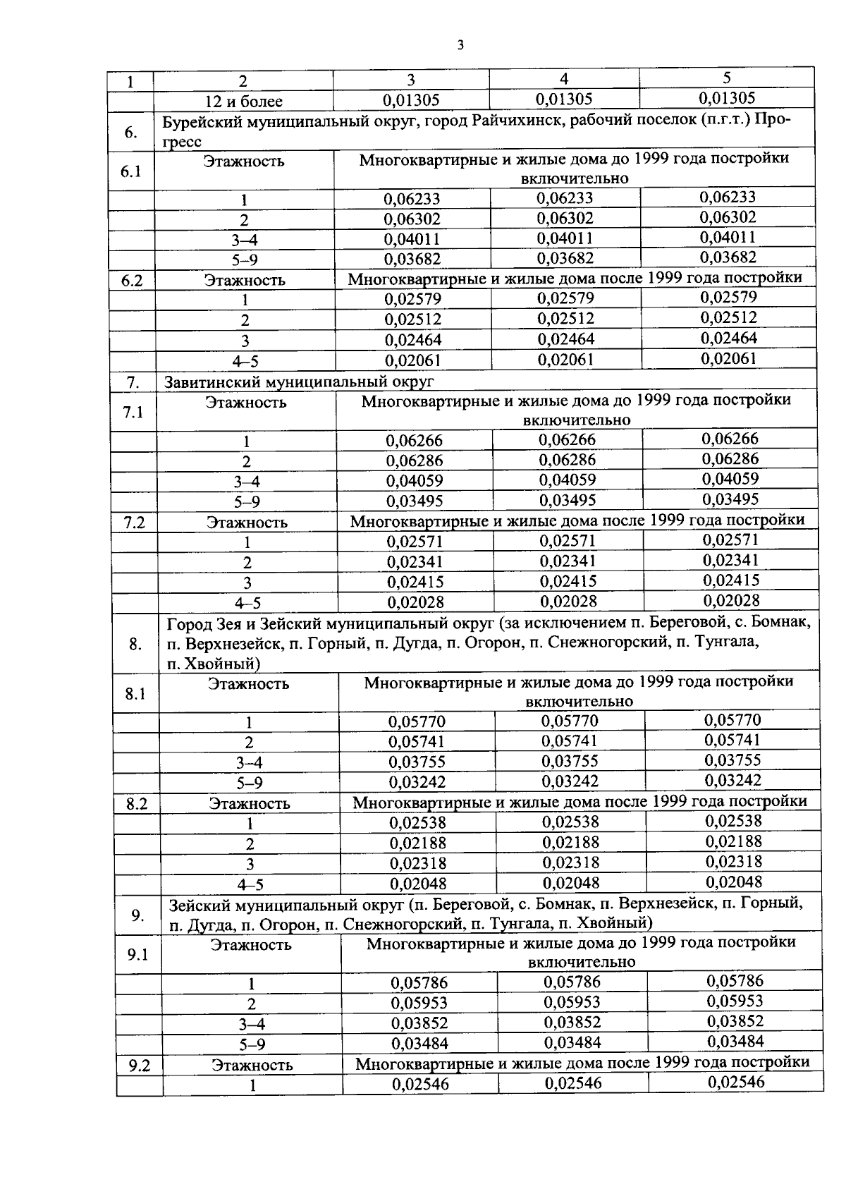
Постановление Правительства Амурской области от 27.12.2024 № 1032
"О внесении изменений в постановление Правительства Амурской области от 30.08.2012 № 466"
Номер опубликования: 2800202412280002
Дата опубликования: 28.12.2024
Страница №5 из 21:
Увеличить