Официальное опубликование правовых актов
ОФИЦИАЛЬНОЕ ОПУБЛИКОВАНИЕ
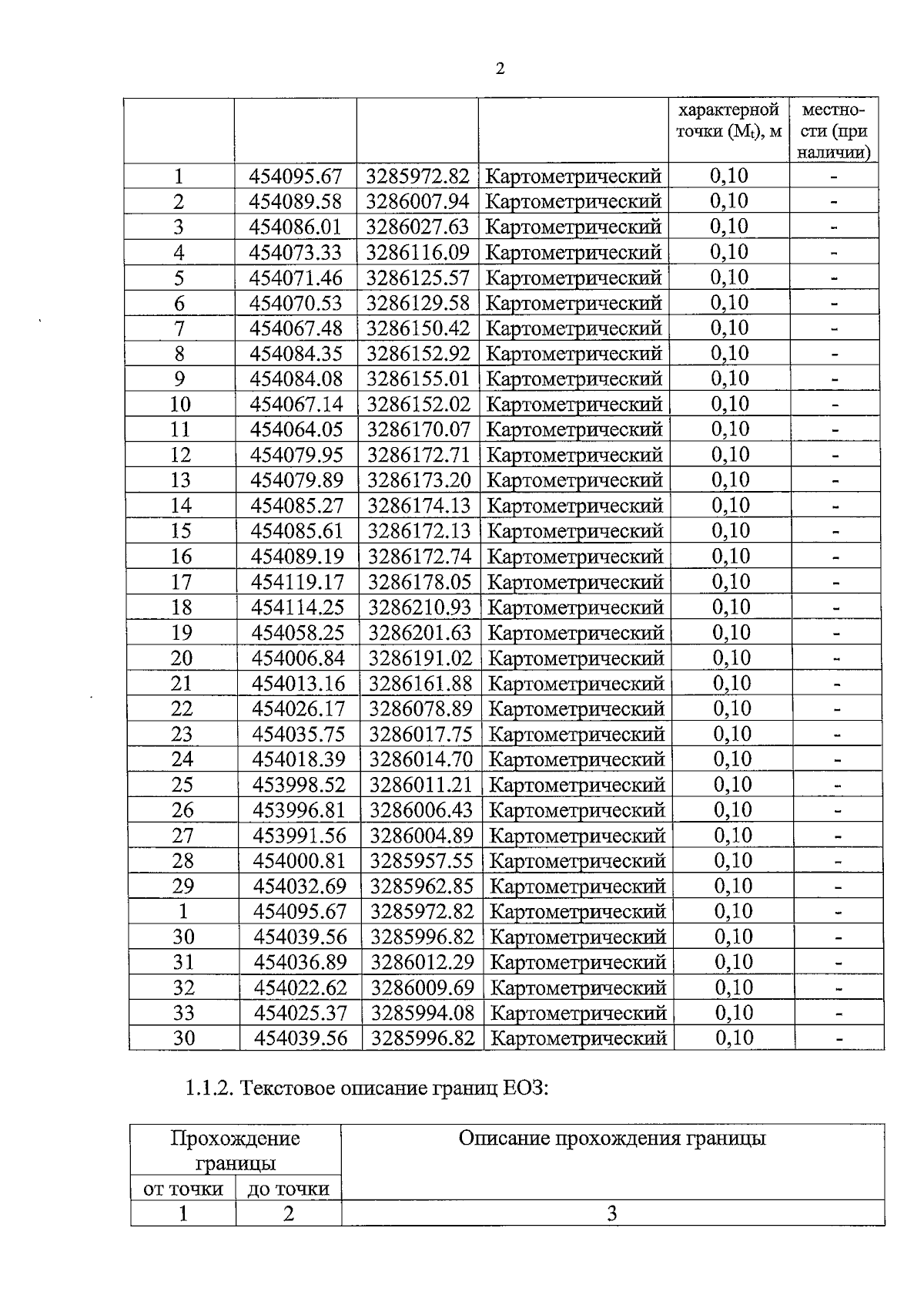
Постановление Правительства Амурской области от 14.05.2025 № 380
"Об установлении объединенной зоны охраны объектов культурного наследия регионального значения, расположенных в кварталах № 29, № 152 города Благовещенск Амурской области, и утверждении требований к градостроительным регламентам в границах территории данной зоны"
Номер опубликования: 2800202505160014
Дата опубликования: 16.05.2025
Страница №3 из 11:
Увеличить