Официальное опубликование правовых актов
ОФИЦИАЛЬНОЕ ОПУБЛИКОВАНИЕ
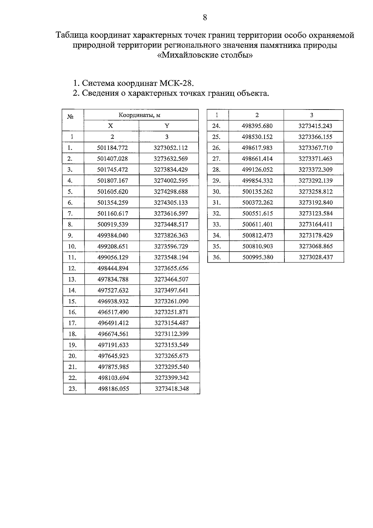
Постановление Правительства Амурской области от 01.09.2025 № 674
"О внесении изменений в постановление Правительства Амурской области от 21.10.2022 № 1033"
Номер опубликования: 2800202509020001
Дата опубликования: 02.09.2025
Страница №9 из 9:
Увеличить