Официальное опубликование правовых актов
ОФИЦИАЛЬНОЕ ОПУБЛИКОВАНИЕ
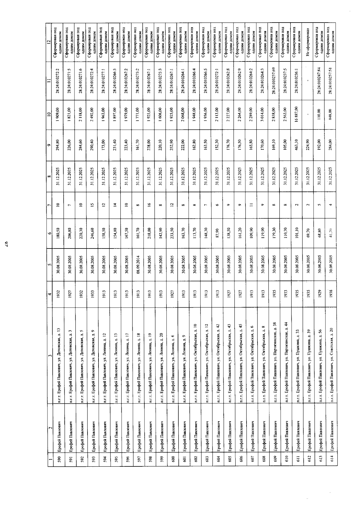
Постановление Правительства Амурской области от 03.10.2025 № 746
"О внесении изменений в постановление Правительства Амурской области от 29.03.2019 № 152"
Номер опубликования: 2800202510080002
Дата опубликования: 08.10.2025
Страница №29 из 54:
Увеличить