Официальное опубликование правовых актов
ОФИЦИАЛЬНОЕ ОПУБЛИКОВАНИЕ
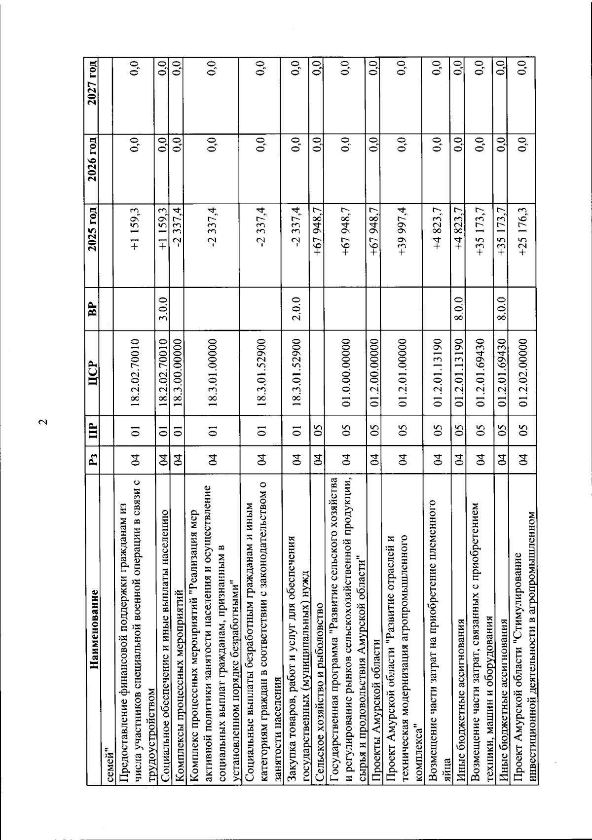
Закон Амурской области от 23.10.2025 № 690-ОЗ
"О внесении изменений в Закон Амурской области "Об областном бюджете на 2025 год и плановый период 2026 и 2027 годов"
Номер опубликования: 2800202510240003
Дата опубликования: 24.10.2025
Страница №28 из 90:
Увеличить