Постановление Правительства Архангельской области от 11.10.2016 № 408-пп
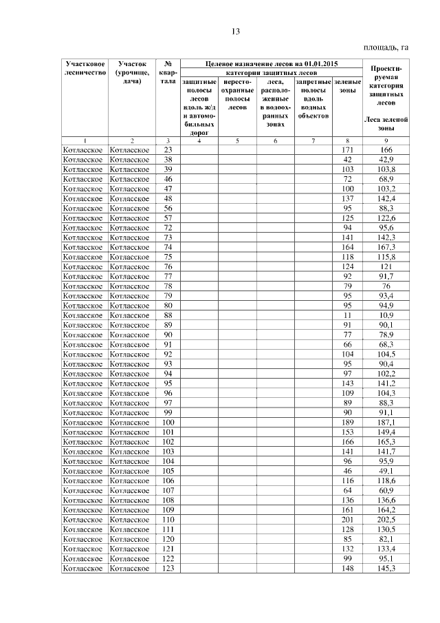
"О границах зеленых зон Котласского лесничества Архангельской области"
"О границах зеленых зон Котласского лесничества Архангельской области"
Номер опубликования: 2900201610190003
Дата опубликования:
19.10.2016
