Официальное опубликование правовых актов
ОФИЦИАЛЬНОЕ ОПУБЛИКОВАНИЕ
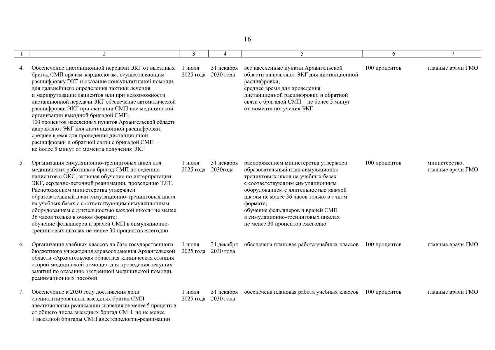
Постановление Правительства Архангельской области от 01.07.2025 № 556-пп
"Об утверждении программы Архангельской области "Борьба с сердечно-сосудистыми заболеваниями"
Номер опубликования: 2900202507090001
Дата опубликования: 09.07.2025
Страница №112 из 117:
Увеличить