Официальное опубликование правовых актов
ОФИЦИАЛЬНОЕ ОПУБЛИКОВАНИЕ
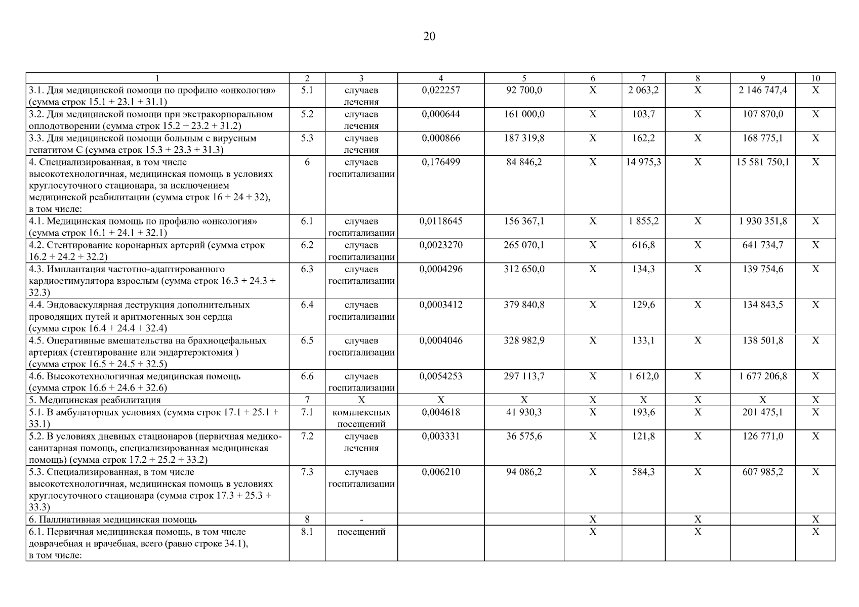
Постановление Правительства Архангельской области от 07.11.2025 № 987-пп
"О внесении изменений в территориальную программу государственных гарантий бесплатного оказания гражданам медицинской помощи в Архангельской области на 2025 год и на плановый период 2026 и 2027 годов"
Номер опубликования: 2900202511070005
Дата опубликования: 07.11.2025
Страница №21 из 31:
Увеличить