Официальное опубликование правовых актов
ОФИЦИАЛЬНОЕ ОПУБЛИКОВАНИЕ
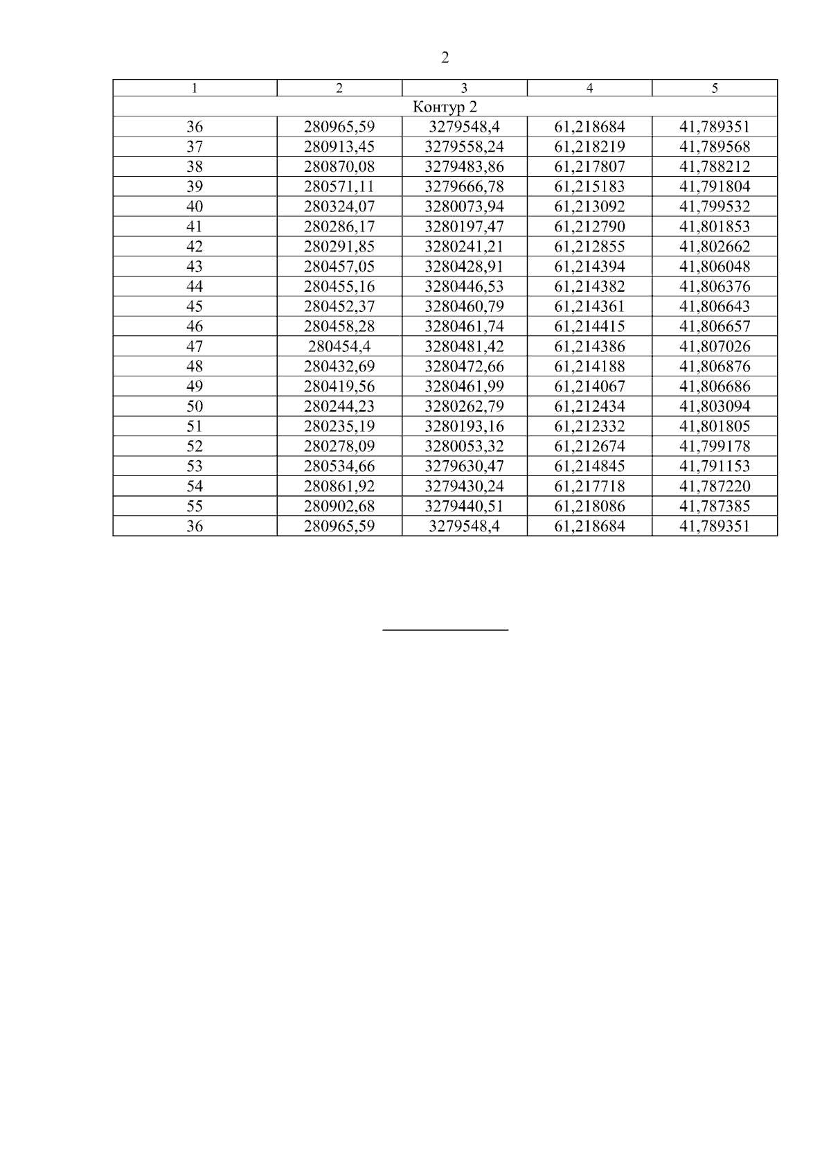
Указ губернатора Архангельской области от 27.11.2025 № 129-у
"Об установлении охранной зоны памятника природы регионального значения "Шунемский сосновый бор"
Номер опубликования: 2900202512020009
Дата опубликования: 02.12.2025
Страница №4 из 8:
Увеличить