Официальное опубликование правовых актов
ОФИЦИАЛЬНОЕ ОПУБЛИКОВАНИЕ
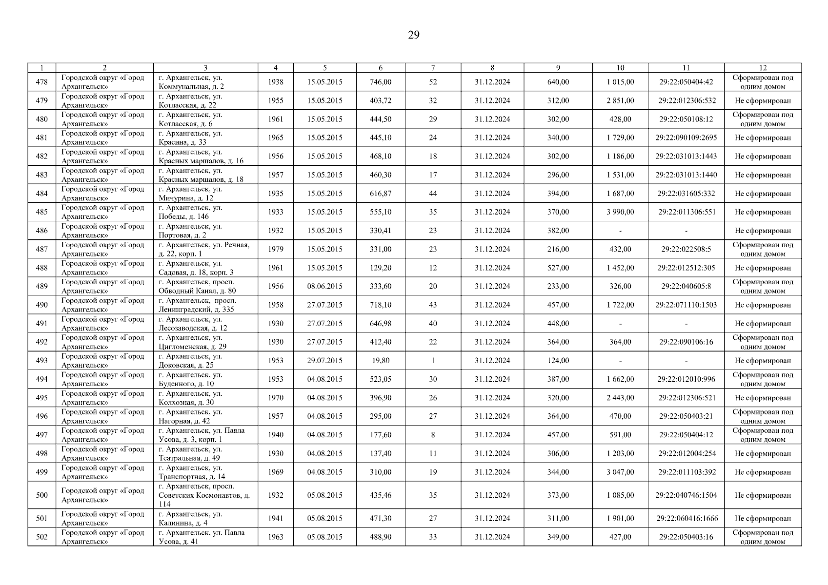
Постановление Правительства Архангельской области от 30.01.2026 № 56-пп
"О внесении изменений в адресную программу Архангельской области "Переселение граждан из аварийного жилищного фонда на 2019 – 2025 годы"
Номер опубликования: 2900202602040005
Дата опубликования: 04.02.2026
Страница №30 из 129:
Увеличить