Официальное опубликование правовых актов
ОФИЦИАЛЬНОЕ ОПУБЛИКОВАНИЕ
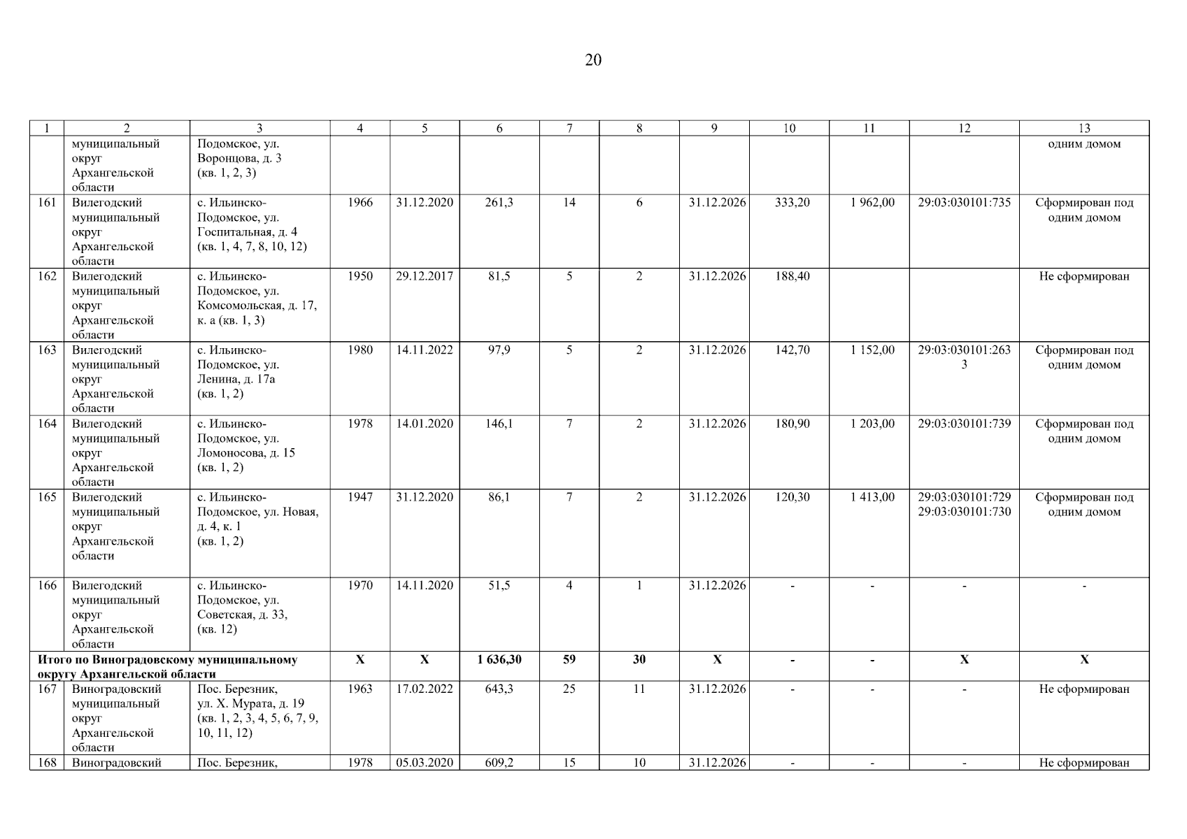
Постановление Правительства Архангельской области от 16.04.2026 № 261-пп
"О внесении изменений в постановление Правительства Архангельской области от 29 сентября 2025 года № 834-пп"
Номер опубликования: 2900202604170006
Дата опубликования: 17.04.2026
Страница №21 из 107:
Увеличить