Официальное опубликование правовых актов
ОФИЦИАЛЬНОЕ ОПУБЛИКОВАНИЕ
Постановление Министерства топливно-энергетического комплекса и жилищно-коммунального хозяйства Архангельской области от 20.09.2016 № 65-п
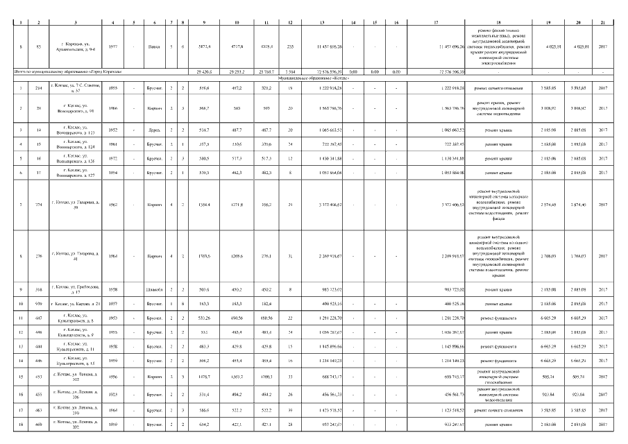
"Об утверждении краткосрочного плана реализации региональной программы капитального ремонта общего имущества в многоквартирных домах, расположенных на территории Архангельской области, на 2017 год"
Номер опубликования: 2901201609210002
Дата опубликования: 21.09.2016
Страница №8 из 26:
Увеличить