Официальное опубликование правовых актов
ОФИЦИАЛЬНОЕ ОПУБЛИКОВАНИЕ
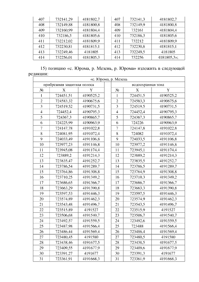
Постановление Министерства природных ресурсов и лесопромышленного комплекса Архангельской области от 19.10.2017 № 28 п
"О внесении изменений в приложения № 1 – 3 к постановлению министерства природных ресурсов и лесопромышленного комплекса Архангельской области от 07 марта 2017 года № 4п"
Номер опубликования: 2901201710250001
Дата опубликования: 25.10.2017
Страница №142 из 191:
Увеличить