Официальное опубликование правовых актов
ОФИЦИАЛЬНОЕ ОПУБЛИКОВАНИЕ
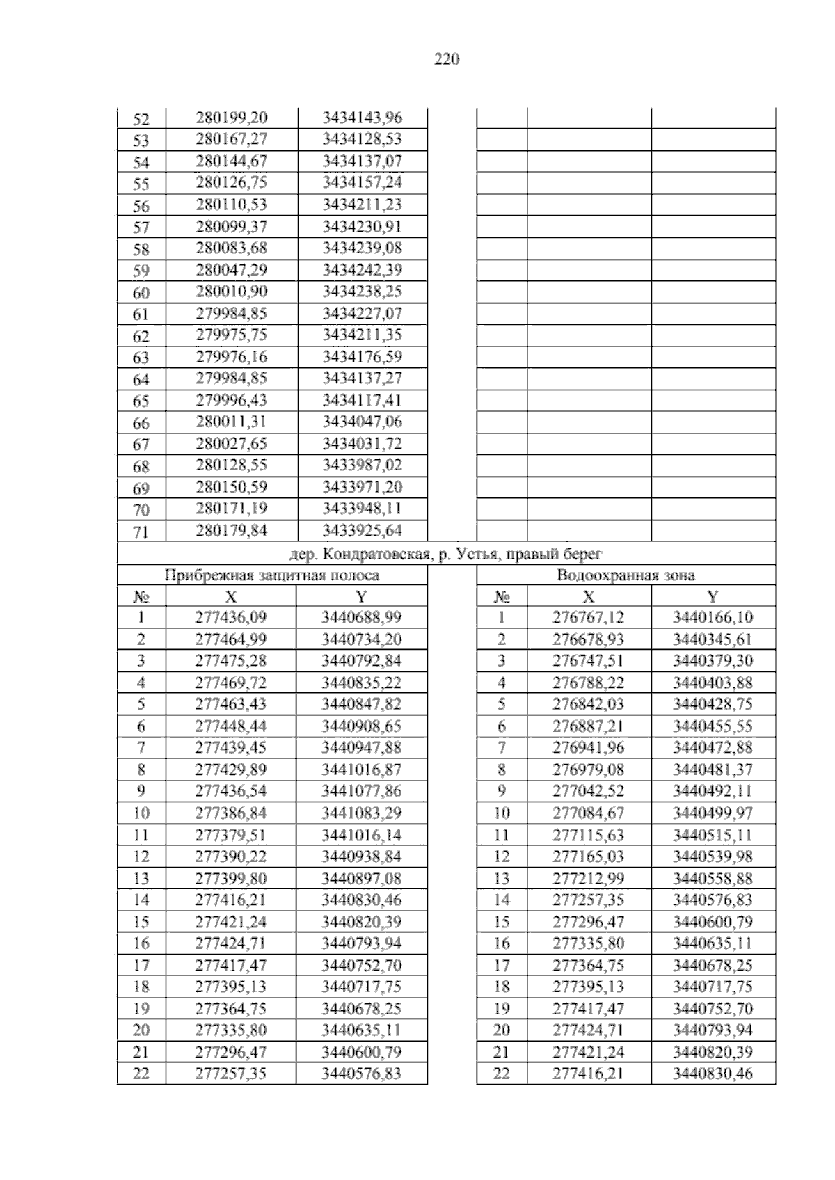
Постановление Министерства природных ресурсов и лесопромышленного комплекса Архангельской области от 22.08.2024 № 54п
"О внесении изменений в постановление министерства природных ресурсов и лесопромышленного комплекса Архангельской области от 17 апреля 2017 года №10п"
(Зарегистрирован 23.08.2024 № 29-2024-204/650)
Номер опубликования: 2901202408230002
Дата опубликования: 23.08.2024
Страница №221 из 248:
Увеличить