Официальное опубликование правовых актов
ОФИЦИАЛЬНОЕ ОПУБЛИКОВАНИЕ
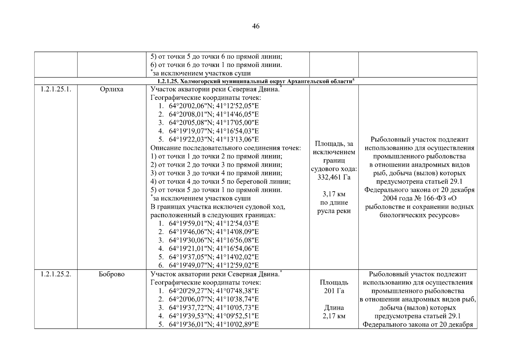
Постановление Министерства агропромышленного комплекса и торговли Архангельской области от 11.09.2024 № 38-п
"О внесении изменений в Перечень рыболовных участков Архангельской области"
(Зарегистрирован 13.09.2024 № 29-2024-205/690)
Номер опубликования: 2901202409130003
Дата опубликования: 13.09.2024
Страница №47 из 82:
Увеличить