Официальное опубликование правовых актов
ОФИЦИАЛЬНОЕ ОПУБЛИКОВАНИЕ
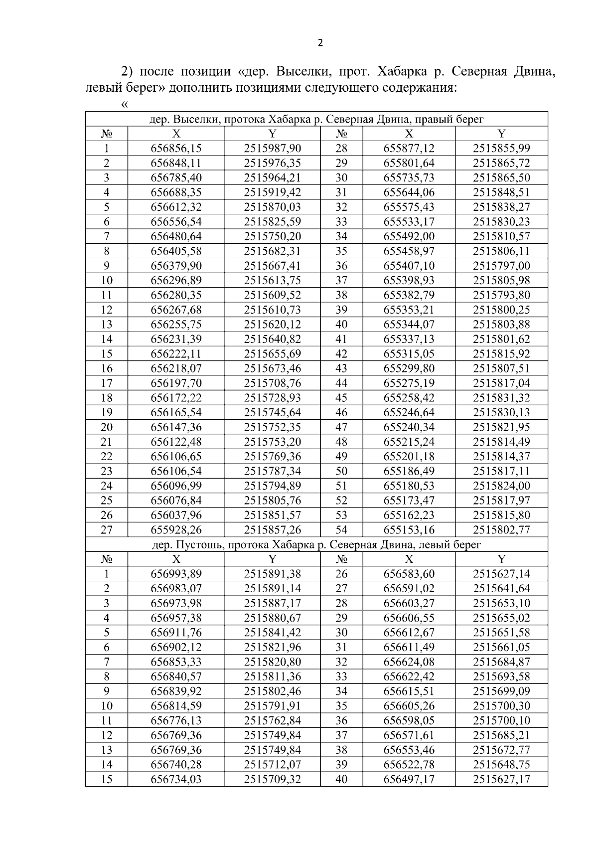
Постановление Министерства природных ресурсов и лесопромышленного комплекса Архангельской области от 14.11.2024 № 70п
"О внесении изменений в постановление министерства природных ресурсов и лесопромышленного комплекса Архангельской области от 24 сентября 2020 года № 29п"
(Зарегистрирован 14.11.2024 № 29-2024-204/900)
Номер опубликования: 2901202411140002
Дата опубликования: 14.11.2024
Страница №3 из 169:
Увеличить