Официальное опубликование правовых актов
ОФИЦИАЛЬНОЕ ОПУБЛИКОВАНИЕ
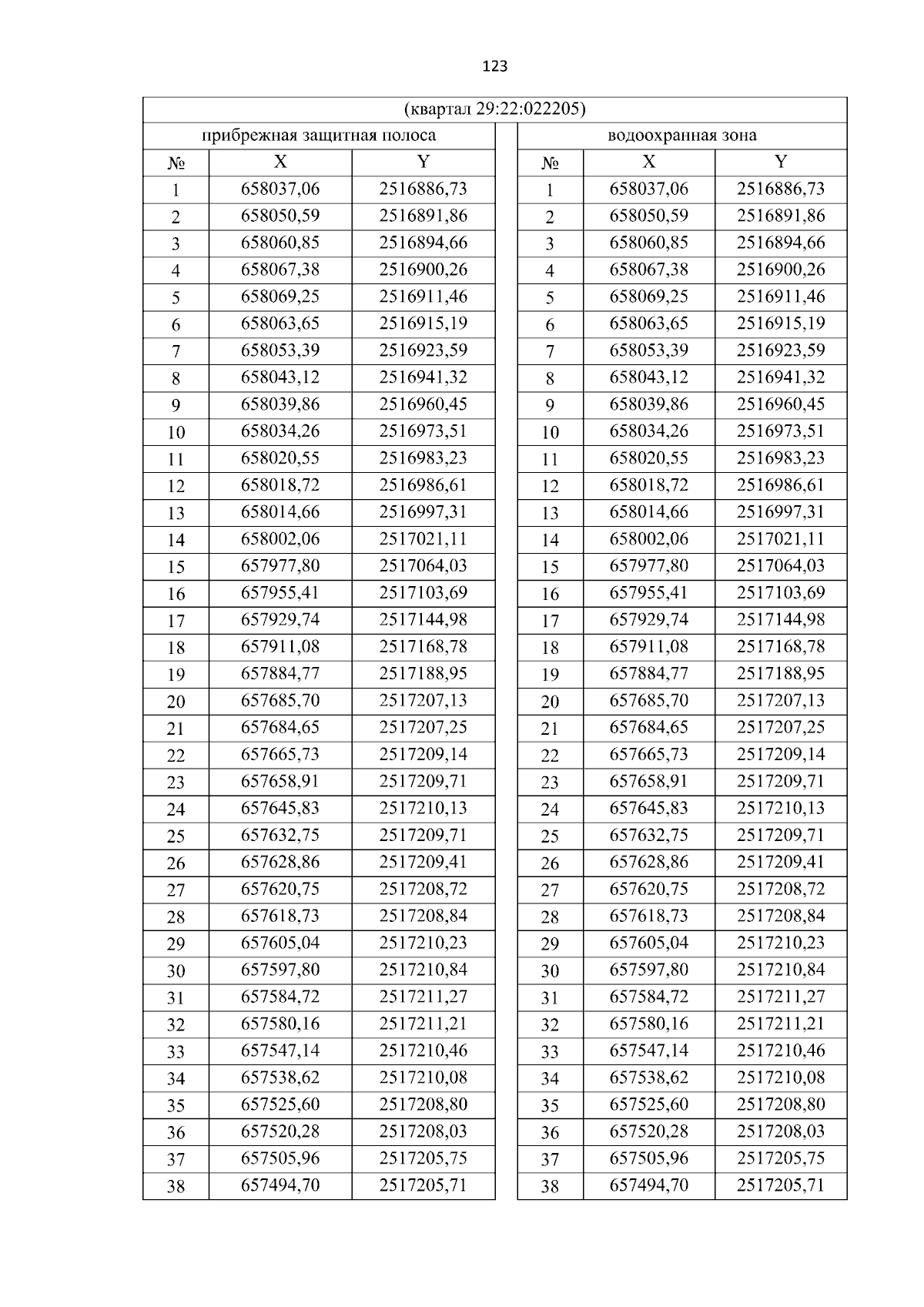
Постановление Министерства природных ресурсов и лесопромышленного комплекса Архангельской области от 14.11.2024 № 71п
"О внесении изменений в постановление министерства природных ресурсов и лесопромышленного комплекса Архангельской области от 13 апреля 2020 года № 18п"
(Зарегистрирован 18.11.2024 № 29-2024-204/934)
Номер опубликования: 2901202411190006
Дата опубликования: 19.11.2024
Страница №124 из 230:
Увеличить