Официальное опубликование правовых актов
ОФИЦИАЛЬНОЕ ОПУБЛИКОВАНИЕ
Постановление агентства по тарифам и ценам Архангельской области от 26.12.2024 № 75-в/4
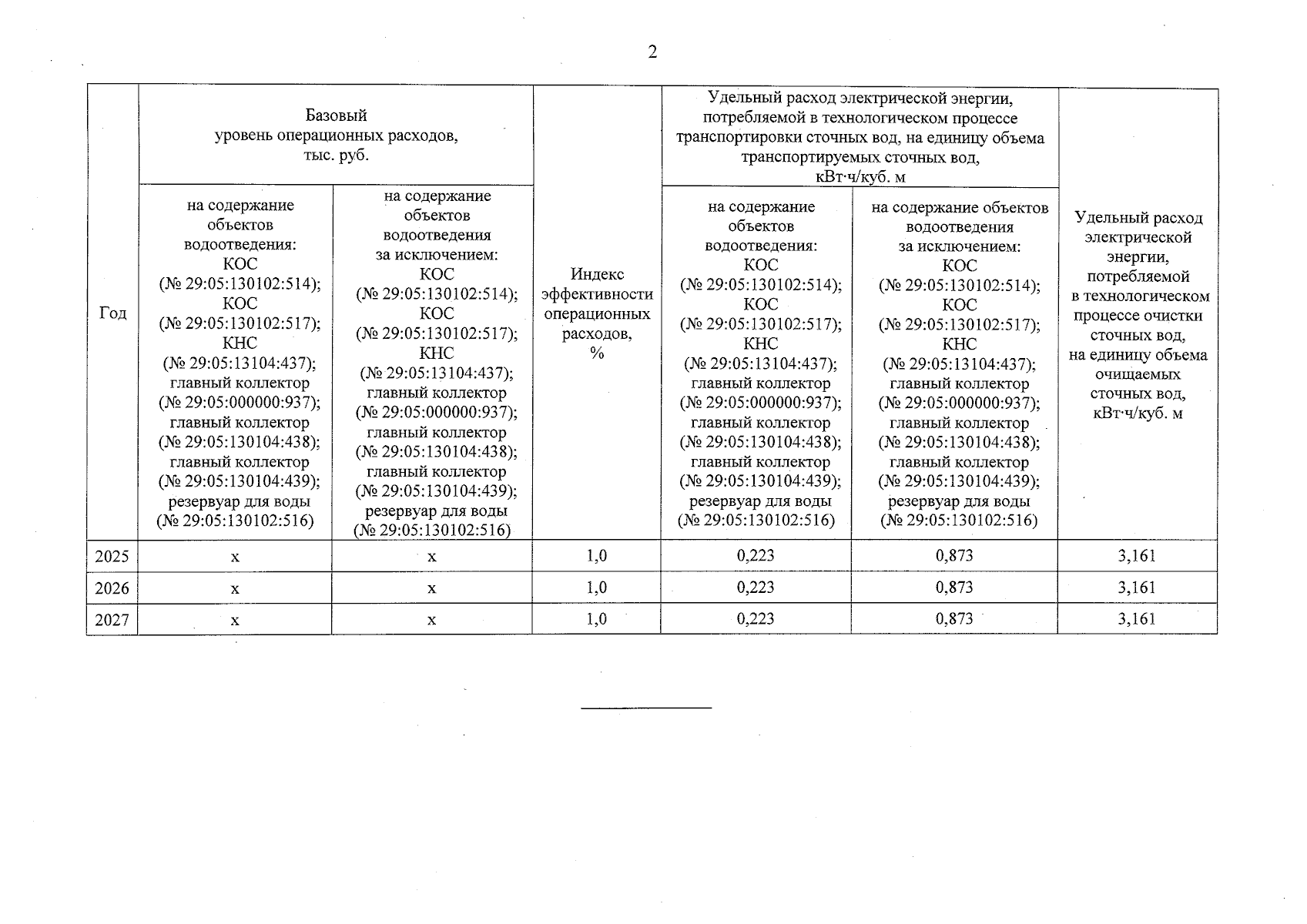
"Об утверждении производственных программ, установлении долгосрочных параметров регулирования тарифов и тарифов на питьевую воду (питьевое водоснабжение) и услуги водоотведения, оказываемые ООО "Каргопольское ресурсоснабжающее предприятие" на территории города Каргополя и поселка Пригородный Каргопольского муниципального округа Архангельской области"
(Зарегистрирован 28.12.2024 № 29-2024-313/1644)
Номер опубликования: 2901202412280064
Дата опубликования: 28.12.2024
Страница №20 из 22:
Увеличить