Официальное опубликование правовых актов
ОФИЦИАЛЬНОЕ ОПУБЛИКОВАНИЕ
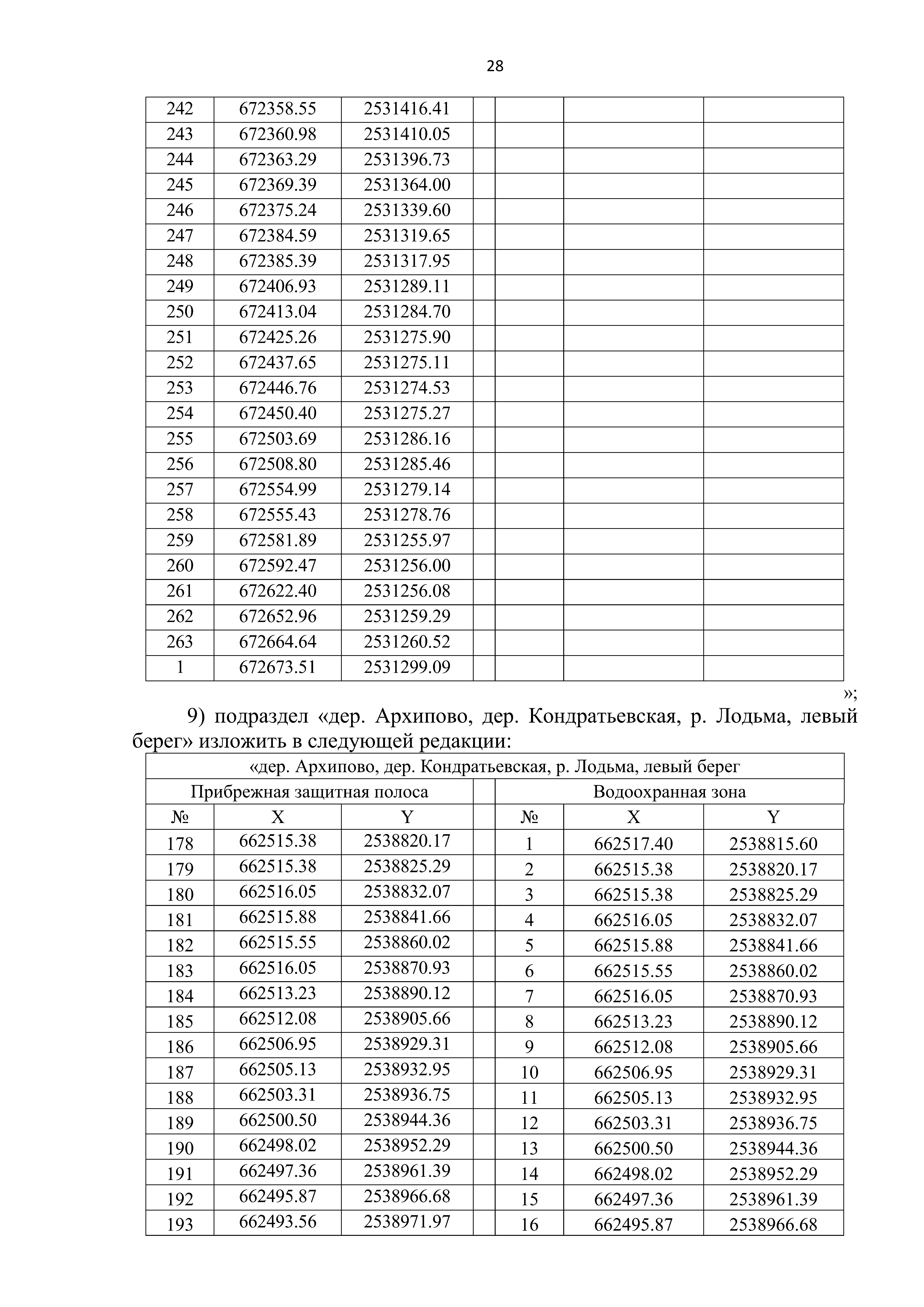
Постановление Министерства природных ресурсов и лесопромышленного комплекса Архангельской области от 20.03.2025 № 23п
"О внесении изменений в постановление министерства природных ресурсов и лесопромышленного комплекса Архангельской области от 24 сентября 2020 года № 30п"
(Зарегистрирован 21.03.2025 № 29-2025-204/256)
Номер опубликования: 2901202503210003
Дата опубликования: 21.03.2025
Страница №29 из 43: