Официальное опубликование правовых актов
ОФИЦИАЛЬНОЕ ОПУБЛИКОВАНИЕ
Постановление Министерства природных ресурсов и лесопромышленного комплекса Архангельской области от 20.03.2025 № 24п
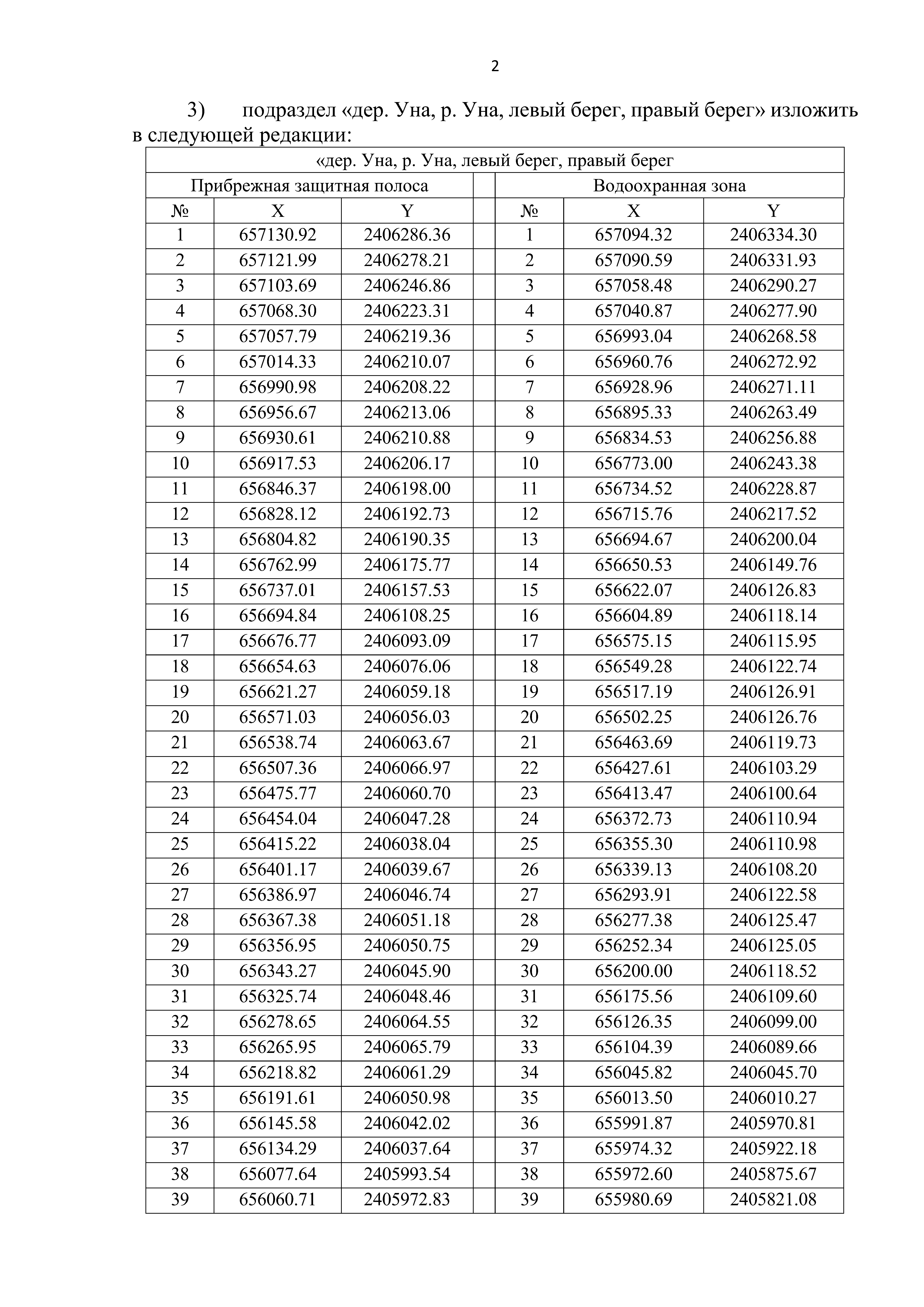
"О внесении изменений в постановление министерства природных ресурсов и лесопромышленного комплекса Архангельской области от 3 февраля 2020 года № 6п"
(Зарегистрирован 21.03.2025 № 29-2025-204/257)
Номер опубликования: 2901202503210006
Дата опубликования: 21.03.2025
Страница №3 из 17: