Официальное опубликование правовых актов
ОФИЦИАЛЬНОЕ ОПУБЛИКОВАНИЕ
Постановление агентства по тарифам и ценам Архангельской области от 28.08.2025 № 42-п/8
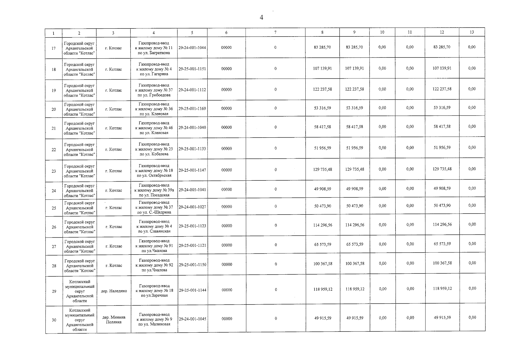
"Об утверждении размера экономически обоснованных расходов ООО "Котласгазсервис" на выполнение мероприятий по технологическому присоединению в рамках мероприятий по догазификации за 2 квартал 2025 года"
(Зарегистрирован 03.09.2025 № 29-2025-313/810)
Номер опубликования: 2901202509040002
Дата опубликования: 04.09.2025
Страница №6 из 8:
Увеличить