Официальное опубликование правовых актов
ОФИЦИАЛЬНОЕ ОПУБЛИКОВАНИЕ
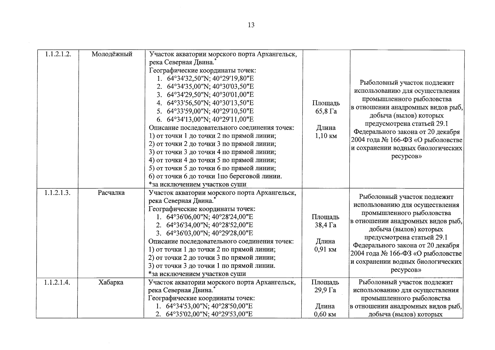
Постановление Министерства агропромышленного комплекса и торговли Архангельской области от 01.10.2025 № 29-п
"О внесении изменений в Перечень рыболовных участков Архангельской области"
(Зарегистрирован 03.10.2025 № 29-2025-205/926)
Номер опубликования: 2901202510030009
Дата опубликования: 03.10.2025
Страница №14 из 82:
Увеличить