Официальное опубликование правовых актов
ОФИЦИАЛЬНОЕ ОПУБЛИКОВАНИЕ
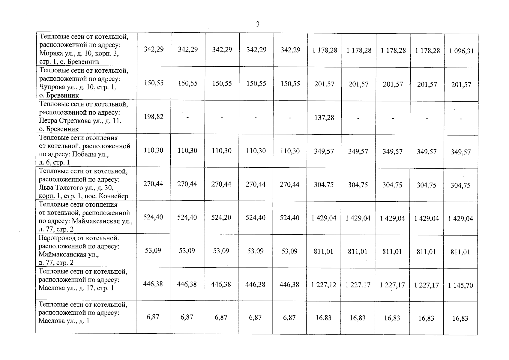
Постановление Министерства топливно-энергетического комплекса и жилищно-коммунального хозяйства Архангельской области от 08.10.2025 № 154-пн
"О внесении изменений в постановление министерства топливно-энергетического комплекса и жилищно-коммунального хозяйства Архангельской области от 12 ноября 2024 г. № 158-пн"
(Зарегистрирован 08.10.2025 № 29-2025-203/942 )
Номер опубликования: 2901202510130004
Дата опубликования: 13.10.2025
Страница №4 из 5:
Увеличить