Официальное опубликование правовых актов
ОФИЦИАЛЬНОЕ ОПУБЛИКОВАНИЕ
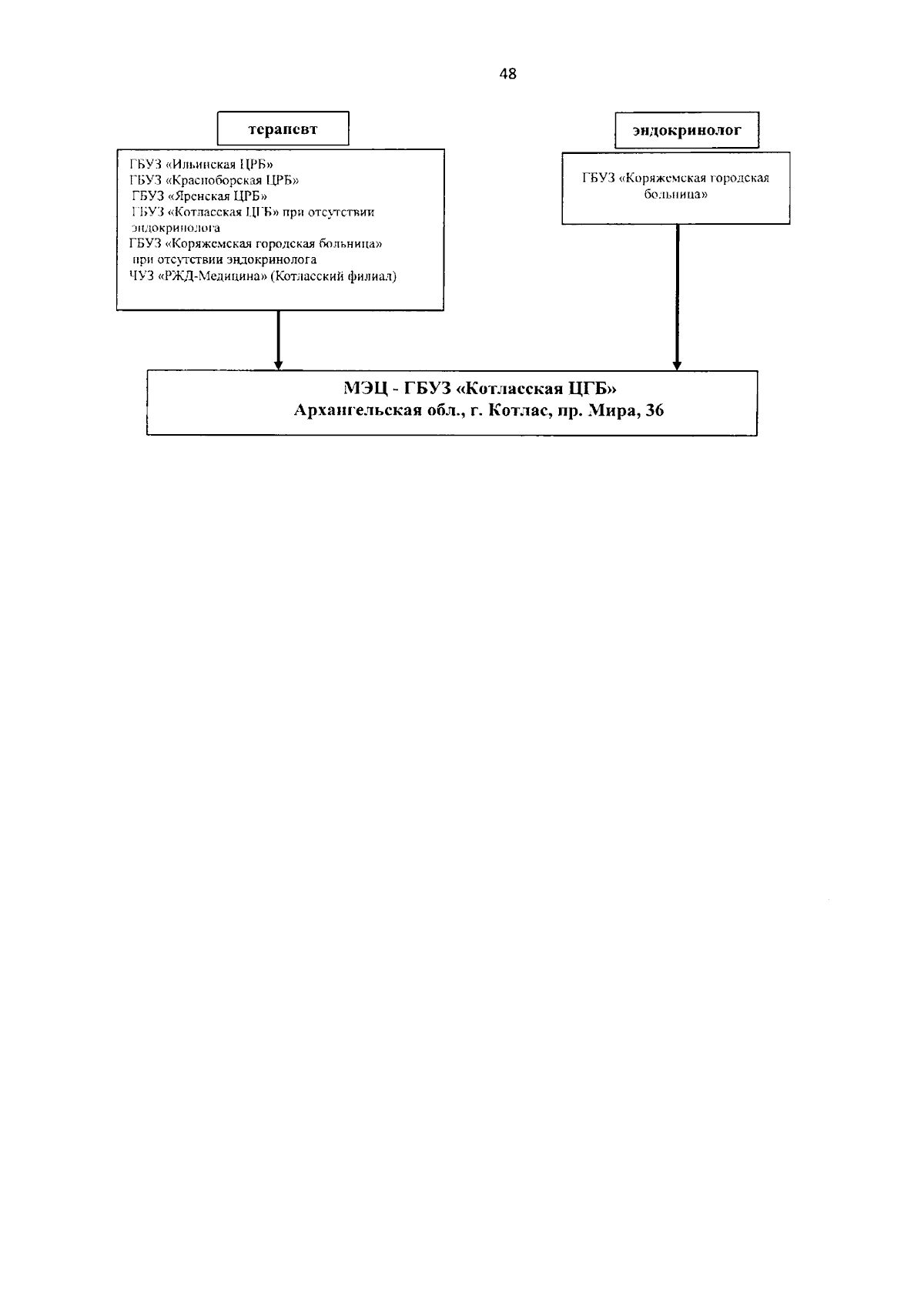
Постановление Министерства здравоохранения Архангельской области от 12.11.2025 № 19-пз
"Об утверждении Порядка маршрутизации пациентов с сахарным диабетом на территории Архангельской области"
(Зарегистрирован 14.11.2025 № 29-2025-208/1059)
Номер опубликования: 2901202511140004
Дата опубликования: 14.11.2025
Страница №49 из 49:
Увеличить