Официальное опубликование правовых актов
ОФИЦИАЛЬНОЕ ОПУБЛИКОВАНИЕ
Постановление Министерства природных ресурсов и лесопромышленного комплекса Архангельской области от 20.03.2026 № 9п
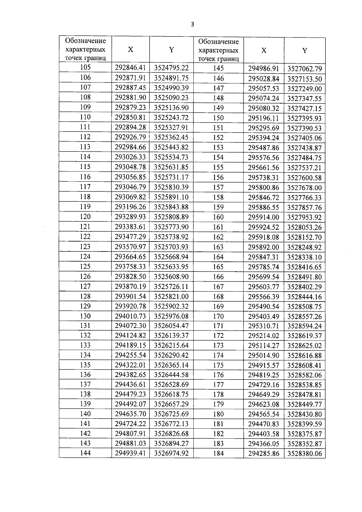
"Об установлении зоны санитарной охраны источника питьевого и хозяйственно-бытового водоснабжения водозаборных сооружений из реки Туровец, расположенных на земельном участке 29:07:044901:0003 по адресу Архангельская область, Котласский муниципальный округ, дер. Красная Гора"
(Зарегистрирован 23.03.2026 № 29-2026-204/180)
Номер опубликования: 2901202603230001
Дата опубликования: 23.03.2026
Страница №6 из 20:
Увеличить