Официальное опубликование правовых актов
ОФИЦИАЛЬНОЕ ОПУБЛИКОВАНИЕ
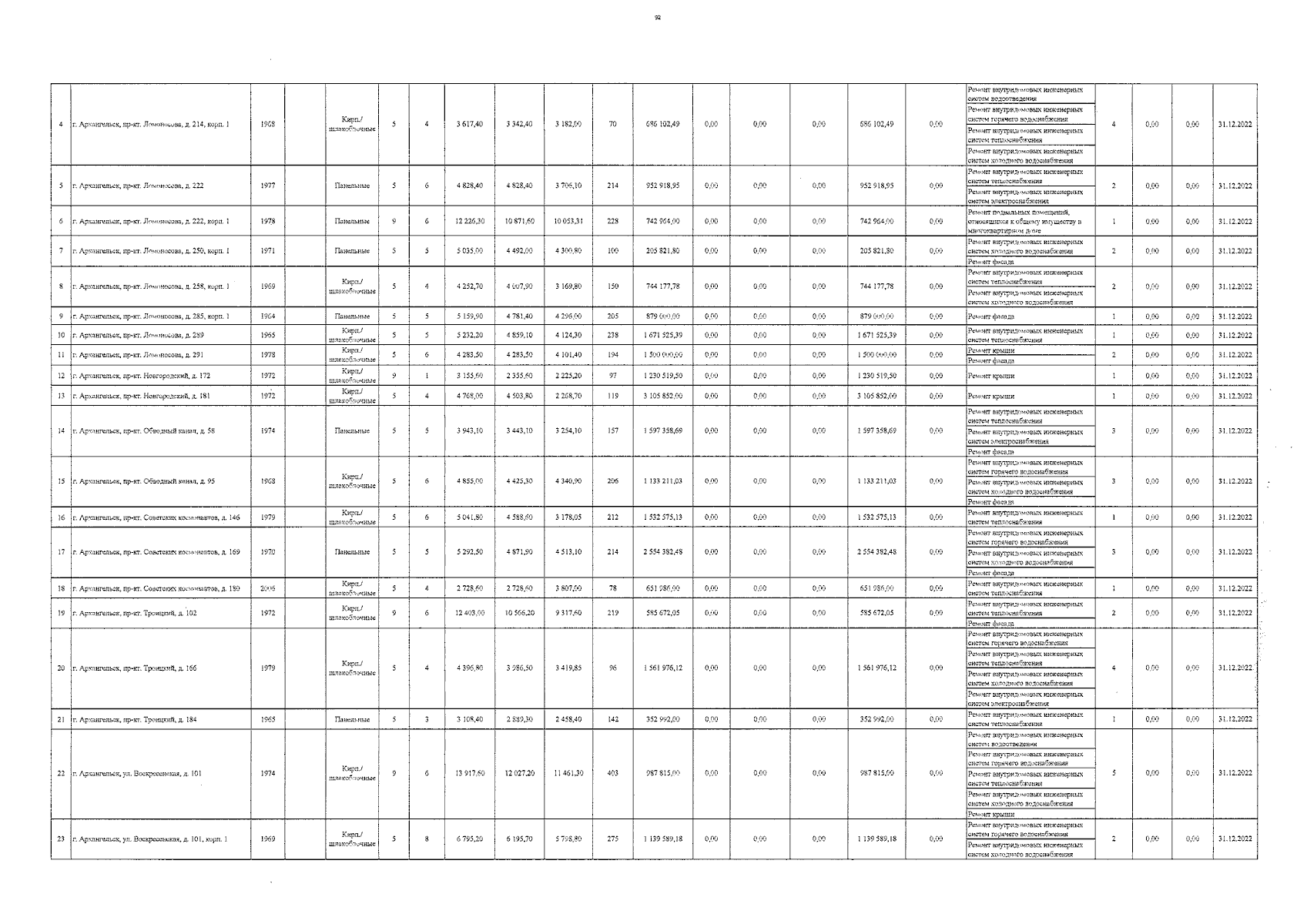
Постановление Министерства топливно-энергетического комплекса и жилищно-коммунального хозяйства Архангельской области от 20.03.2026 № 23-п
"О внесении изменений в краткосрочный план реализации региональной программы капитального ремонта общего имущества в многоквартирных домах, расположенных на территории Архангельской области, на 2020 – 2022 годы"
(Зарегистрирован 23.03.2026 № 29-2026-203/181)
Номер опубликования: 2901202603230002
Дата опубликования: 23.03.2026
Страница №93 из 103:
Увеличить