Официальное опубликование правовых актов
ОФИЦИАЛЬНОЕ ОПУБЛИКОВАНИЕ
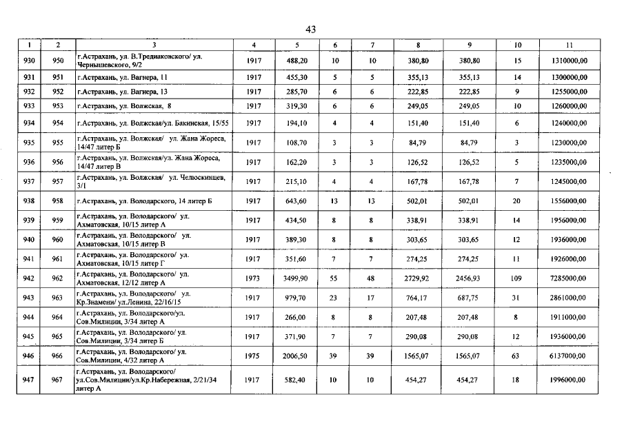
Постановление Правительства Астраханской области от 28.04.2017 № 148-П
"О внесении изменений в постановление Правительства Астраханской области от 06.02.2014 № 27-П"
Номер опубликования: 3000201705050001
Дата опубликования: 05.05.2017
Страница №45 из 2686:
Увеличить