Официальное опубликование правовых актов
ОФИЦИАЛЬНОЕ ОПУБЛИКОВАНИЕ
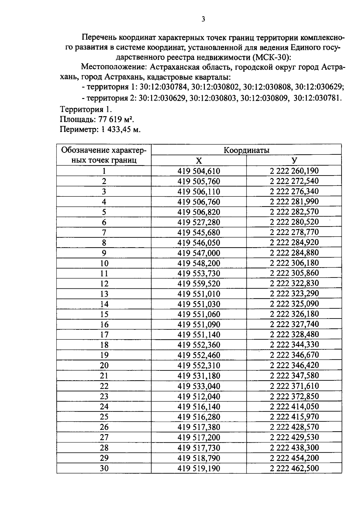
Постановление Правительства Астраханской области от 14.02.2025 № 69-П
"О комплексном развитии территории жилой застройки в районе улиц Кирова, Ахшарумова, Дарвина, Бакинская в Советском районе города Астрахани"
Номер опубликования: 3000202502170004
Дата опубликования: 17.02.2025
Страница №5 из 76:
Увеличить