Официальное опубликование правовых актов
ОФИЦИАЛЬНОЕ ОПУБЛИКОВАНИЕ
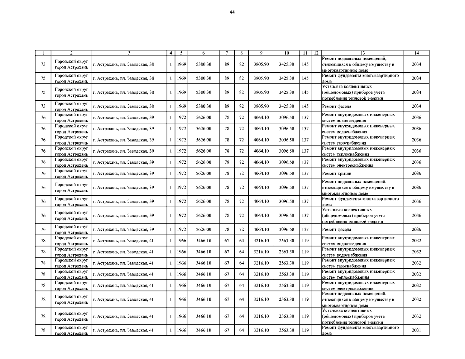
Постановление Правительства Астраханской области от 20.02.2026 № 42-П
"О региональной программе "Проведение капитального ремонта общего имущества в многоквартирных домах, расположенных на территории Астраханской области, на 2014–2046 годы"
Номер опубликования: 3000202602240003
Дата опубликования: 24.02.2026
Страница №45 из 3561:
Увеличить