Официальное опубликование правовых актов
ОФИЦИАЛЬНОЕ ОПУБЛИКОВАНИЕ
Постановление Министерства социального развития и труда Астраханской области от 21.08.2019 № 52
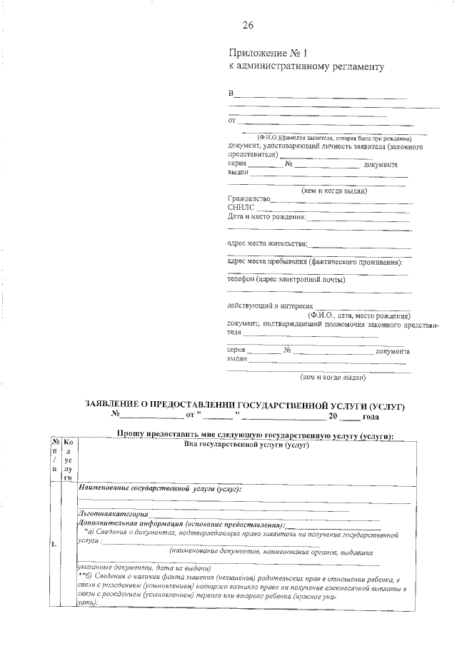
"Об административном регламенте министерства социального развития и труда Астраханской области предоставления государственной услуги "Присвоение звания "Ветеран труда" и выдача удостоверения "Ветеран труда", дубликата удостоверения "Ветеран труда"
Номер опубликования: 3001201908280008
Дата опубликования: 28.08.2019
Страница №28 из 50:
Увеличить