Официальное опубликование правовых актов
ОФИЦИАЛЬНОЕ ОПУБЛИКОВАНИЕ
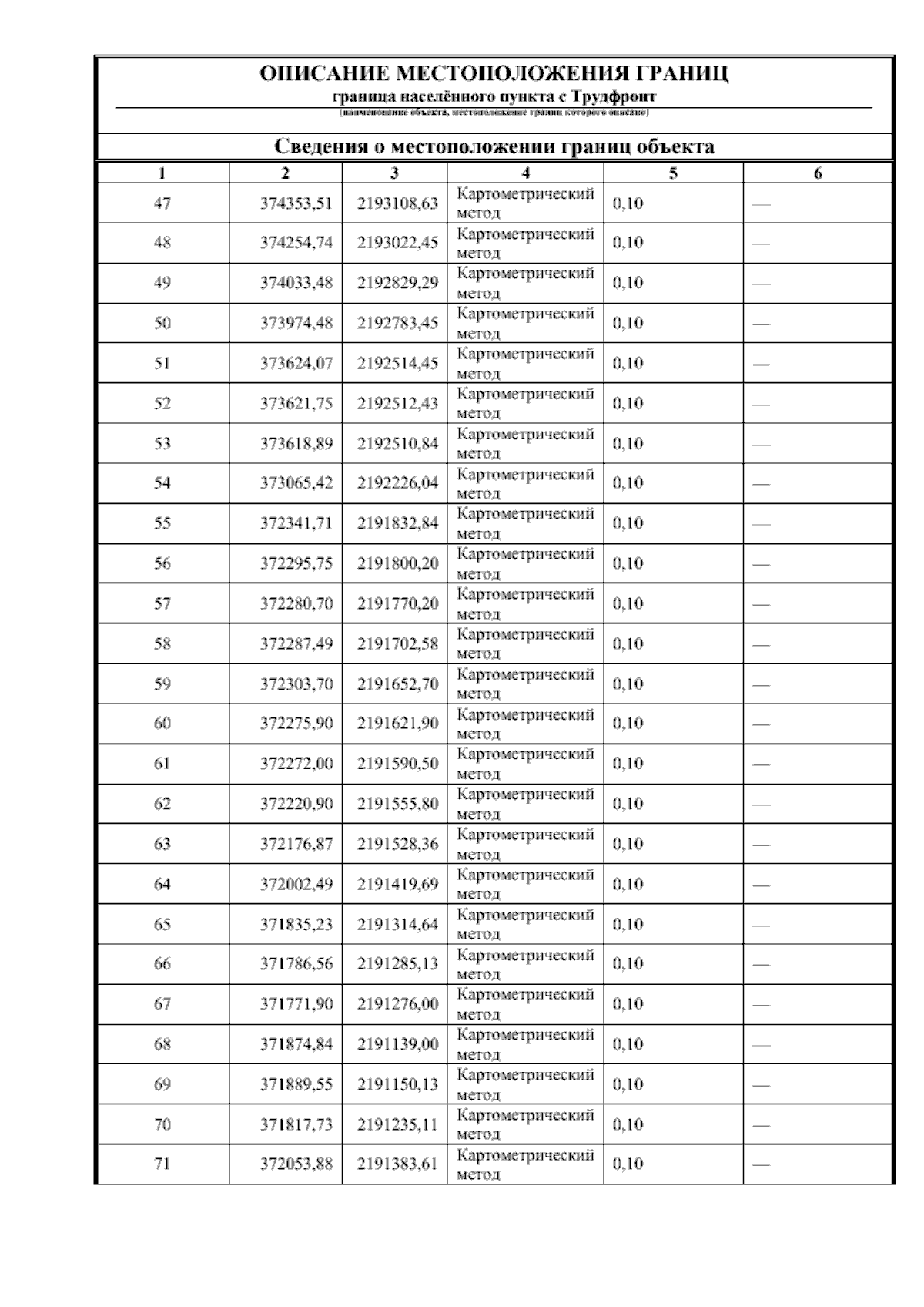
Постановление Министерства имущественных и градостроительных отношений Астраханской области от 30.05.2025 № 49
"Об утверждении изменений в генеральный план муниципального образования "Сельское поселение село Трудфронт Икрянинского муниципального района Астраханской области", утвержденный решением Совета муниципального образования "Икрянинский район" Астраханской области от 14.02.2022 № 10/4"
(Зарегистрирован 30.05.2025 № 114/25/49)
Номер опубликования: 3001202506020002
Дата опубликования: 02.06.2025
Страница №48 из 60:
Увеличить