Официальное опубликование правовых актов
ОФИЦИАЛЬНОЕ ОПУБЛИКОВАНИЕ
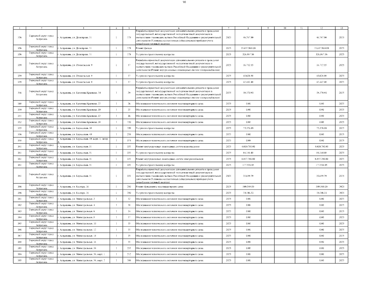
Постановление Министерства строительства и жилищно-коммунального хозяйства Астраханской области от 29.09.2025 № 23
"О внесении изменений в постановление министерства строительства и жилищно-коммунального хозяйства Астраханской области от 26.12.2023 № 32"
(Зарегистрирован 29.09.2025 № 110/25/23)
Номер опубликования: 3001202510010003
Дата опубликования: 01.10.2025
Страница №92 из 403:
Увеличить